tion on the effects of the lower
For more information on coding the
nent Description and Operator's Guide, (GA33-1529), or the
Description and Operator's Guide, (GA33-1515).
PIB Buffer Images for the 3262 Model I and II Printers
The
add a new
header for the buffer load that is used by
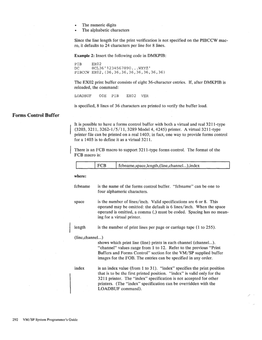
where:
pibname is a 1-to 4-byte character name that is assigned to the buffer load.
Next, supply the exact print image. The print image is supplied by coding DCs in
hexadecimal or character format. The print image may consist of several DCs, the
total length of the print image cannot exceed 288 characters.
The
a CCW string to print the buffer load image when
on the
where:
pibname is a 1-to 4-character name that is assigned to the buffer load.
[,(print1,print2, ... ,print12)]
specifies the length of each line (up to 12 lines) printer to verify the
buffer contents. The line length must be between 1 and 132 (the
length of the print line on a 3262 printer) and the default line length is
24 characters.
total number of characters to be printed may not exceed 288.
Finally, insert the macros just codes,
This module must be reloaded.
code.
If
Examples of New PIB Buffer Images
Example 1: You do not have to specify the line length for verification of the buffer
load. Insert the following in DMKPIB:
PIB EX01
DC 8CL36'1234567890 ...
The buffer image is 8 representations of a 24-character string containing:
Print Buffers and Forms Control 291

































































































































































































































































































































































































































































































































































































































